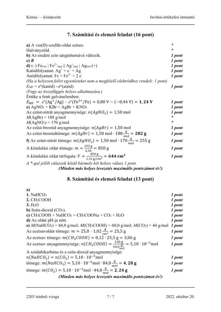
Tegnap írták meg az őszi kémia érettségit a középiskolákban. Mutatjuk a hivatalos megoldókulcsot.

Fotó: Oktatási Hivatal

Fotó: Oktatási Hivatal
Itt megtaláljátok az idei őszi érettségivel kapcsolatos további információkat:
- kémia érettségi feladatsora
- földrajz érettségi feladatsora
- továbbá a földrajz érettségi hivatalos megoldása
- magyar érettségi feladatsora
- továbbá a magyar érettségi hivatalos megoldása
- matematika érettségi feladatsora
- továbbá a matematika érettségi hivatalos megoldása
- továbbá a történelem érettségi hivatalos megoldása
- történelem érettségi feladatsora
- angol nyelvi érettségi feladatsora
- továbbá az angol nyelvi érettségi hivatalos megoldása
